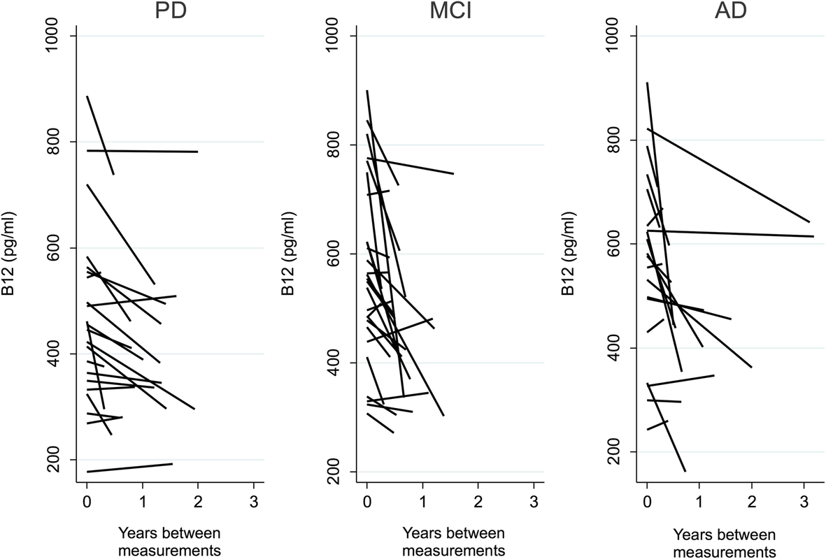
Fig. 1
From: Vitamin B12 measurements across neurodegenerative disorders

Rate of B12 Decline in PD, MCI, and AD patients. Plots showing individual declines of B12 in patients with PD, MCI, and AD. Median (interquartile range) rate of decline were − 17 (−35, − 0.4), −47 (−112, −8), and − 29 (− 124, 2.4) pg/ml/year for PD, MCI, and AD, respectively